Audiobyte

Hydra.Vox

Hydra Vox

UNIQUE AUDIO

EXPERIENCE

The VOX is a unique D/A converter with a headphone amplifier and external power supply. Its entire architecture is built from the scratch using Audiobyte proprietary technologies. Every feature was developed through extensive research to provide a natural audio experience.

Hydra Vox Inside
Hydra Vox Inside

FPGA DAC

The VOX is built around a Xilinx 7-series FPGA device. FPGA = Field Programmable Gate Array – a piece of silicon which allows development of custom hardware. All main functions of the device are specifically made inside the Xilinx device which is updatable, meaning new software will refresh the dac on the hardware level.

The architecture of the VOX is pure 1 bit. All incoming sample rates are converted inside to a sample rate equivalent to DSD256/512 (firmware dependent), after which analog conversion is done using current segment technology.

discrete-1-bit-technology

Attaining a high performance 1-bit converter requires extensive digital processing. In order to keep a pristine sound quality, the processing must be done in a resolution higher than the music itself. Using 80 DSP cores running at 200 MHz and 68-bit processing, VOX has enough computing power to preserve the transparency required by the most demanding audiophile.

signal-processing

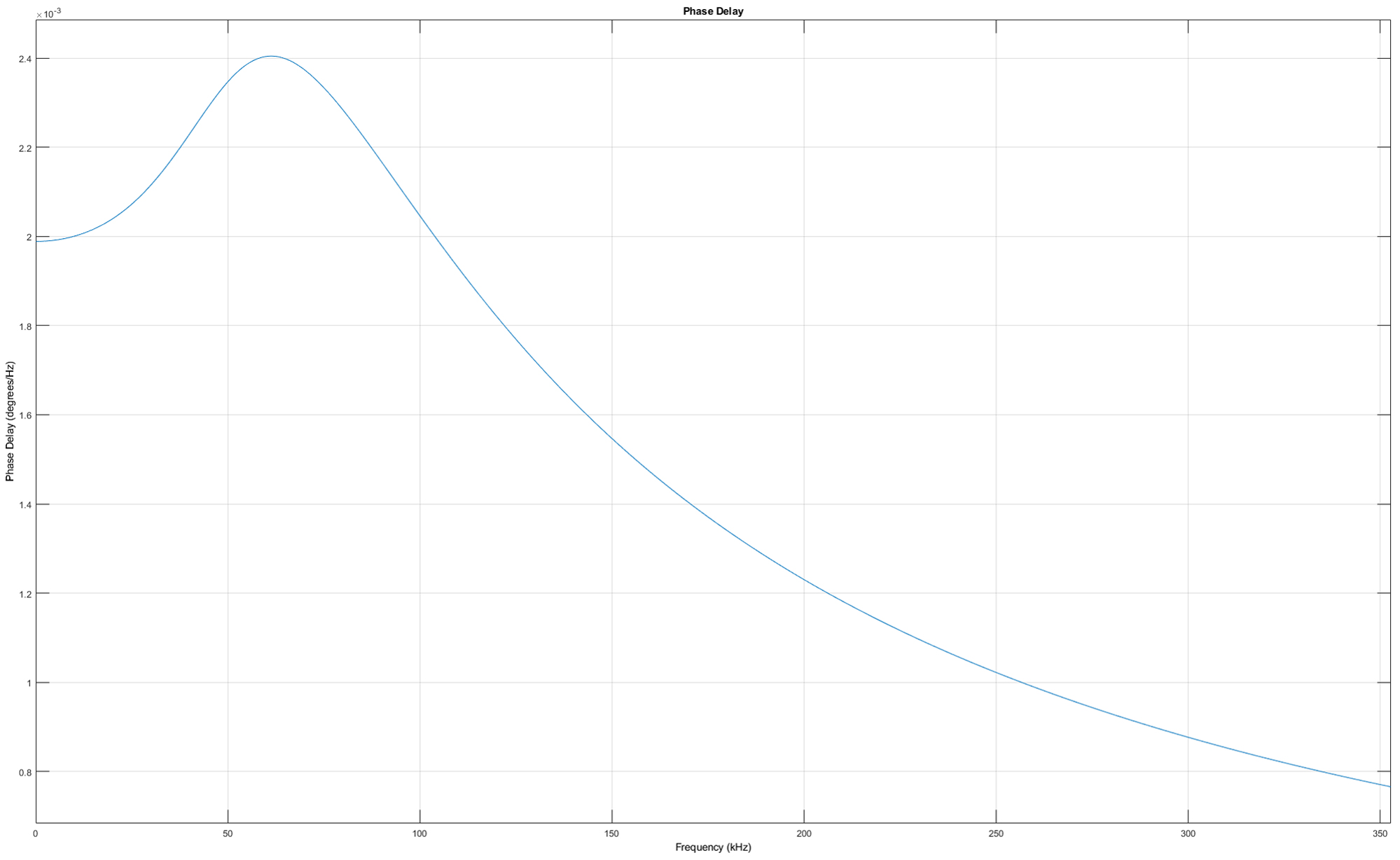
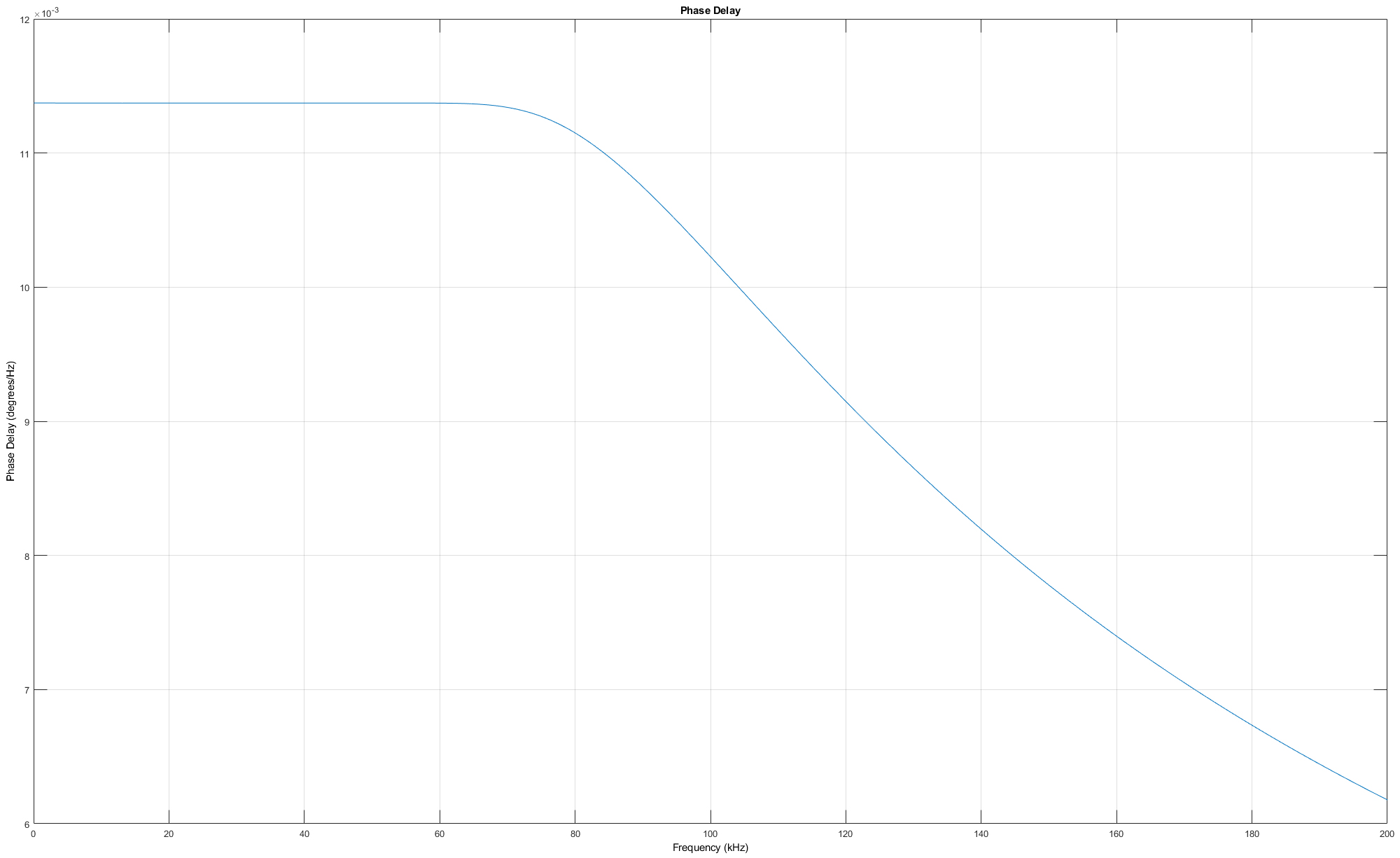
PHASE CORRECTION

SYSTEM

Before

phase-correction-before

After

phase-correction-after

A unique feature of the Hydra.VOX is the seamless integration between analog and digital filters in orders to preserve accurate phase of the audio signal. It is well-known that any analog low-pass filter will add a phase distortion input-to-output altering sound quality.

To avoid this from happening, the digital filters inside FPGA are programmed to exhibit a “mirrored” phase response, thus cancelling the phase error from the analog domain. The result is a perfect phase response over the audio band.

The main input of the VOX is I2S, therefore this input is fully isolated to a prevent any possible noise leak from the audio I2S source.

The quality of the conversion clock is crucial in a high-speed 1-bit system. The VOX uses a high-quality DPLL clock generator which is integrated into a jitter reduction architecture. By design, it does not require any Asynchronous Sample Rate Conversion solutions to achieve this.

analog
filter / buffer

While trivial in general applications, the analog buffer stage of the 1-bit DAC is a critical component. Not only must it eliminate the residual noise, but also it should have extreme performance in terms of low distortion and noise floor. In the VOX, the analog buffer stage is realized using low noise bipolar discrete devices.

Hydra Vox Analog

dsd pure path

Another feature of the VOX DAC is the possibility to directly convert DSD256/512 signals, bypassing all internal processing. This is possible only on USB and I2S inputs. Please note that volume control will not be available if this setting is active and headphone output will be muted.

customization and user

interface

android-application-vox
ios-vox

The VOX is a versatile software defined DAC. This means that many features, graphical interface and even the sound signature are not fixed - they can be changed by updating the firmware.

At the moment, we are developing 3 distinct firmware versions, called Rocket, Bullet and Torpedo, each one with its own sub-versions. Even the most demanding audiophile can find the perfectly tailored sound. To access firmware section please register your device here.

The DAC can be controlled directly on the touchscreen or via control app available for iOS and Android.

Headphone amplifier & preamp

The VOX has a 35-bit data path and a very high quality 32-bit volume control, therefore can drive directly any power amplifier. The built-in headphone amplifier is entirely a bipolar discrete design with a max power of 3W/16 ohms.

headphone-amplifier

external power supply

The VOX is entirely powered from the Hydra.ZAP dedicated power supply, which provides analog power for the headphone amplifier, digital voltage and an ultra-low noise reference voltage.

hydra-zap-vox-back

Technical Specifications

INPUTS:
  • I2S LVDS (HDMI connector): all sample rates
  • S/PDIF coaxial: up to 192k / DSD64
  • USB: all sample rates
OUTPUTS:
  • RCA single ended: 3.8V (peak)
  • XLR balanced: 3.8V (peak)
  • Headphone out: 9V (peak)
  • THD+N: -118 dB (0 dB)
  • S/N: -118 dB

REVIEWS

Soundnews HeadMania
Cookies help us improve the services provided. By using our services, you agree to the use of cookies.